This is the third blog in the series “Real-time GNSS corrections: productivity, profitability and practical considerations,” written by Jason Evans, portfolio manager, Trimble Positioning Services, NYS registered and licensed land surveyor.
The blog series discusses important considerations for your GNSS surveying workflows: When should you use a base station? Are you missing the opportunity to gain productivity by including correction services in your workflows? Can differential base-rover RTK benefit from correction services? Reading the full series will not only help you to answer these questions, it will enable you to calculate the cost savings of a real-time GNSS correction subscription.
With new options for establishing high confidence survey control, the balancing act between “budget” and “error budget” is less of a struggle
In a previous blog in this series, The value proposition of going baseless, we covered the types of control that are likely to be used for setting up bases on your job sites. Each type of control could have one or more workflows, and each workflow would present differing value propositions. Real-time methods not only offer alternatives to costly and time-consuming legacy methods, they meet the precision and accuracy requirements of nearly all field applications.
In this blog we examine common control scenarios and methods for establishing base coordinates, and the considerations for using real-time satellite-delivered GNSS corrections.
RTK base set-up on a known point

This is a common scenario for land surveyors and construction surveyors. Often these control points have been reestablished by land surveyors through one or more of the following methods.
Static GNSS
Static GNSS is often used for “campaign” style surveying, where multiple GNSS receivers collect observations on multiple points simultaneously, with one or more on known points and one or more on control points to be established. These observations are later postprocessed together; the baselines are processed and analyzed, and adjustments performed. This is the legacy geodetic method, and it is still the gold standard to achieve high precision GNSS accuracy, but it is a time consuming and costly GNSS surveying method.
Closed traverses or level runs using optical surveying instruments
When using closed traverse or level runs with optical surveying instruments, measurements begin from one or more known control points, looping through the job site and establishing new control points. The measurement loop either ends on other known control points, or on the known points where you started. These methods provide high quality and confidence but can also be very time, labor and equipment intensive.
Published control
A project may require a tie to previously published control, including control established by your clients and other surveyors they have hired, or by either local, state or federal authorities. In essence, using a published value of coordinates is like a site calibration. Using this method can mean there are no other steps involved in setting up your base besides inputting the published coordinates. This can fulfill the requirements of the job, but there may be many factors that have rendered the published values obsolete, such as tectonic plate velocity and subsidence.
Pre-established, known control points are assumed to be accurately measured, and the resulting coordinates are stored in a job file so that they can be assigned to the GNSS receiver you are using as a base. Correct metadata is crucial: units of measure, precision, data format such as NEZD, Cartesian, Lat/ Long, reference framework (datum), projection — and don’t forget the date and time: surveying, especially if GNSS is used, has the 4th “D” of time dependency. For example, if you’re setting up your GNSS receiver as a base over an NGS monument, you would input the values from the NGS datasheet.
Whichever option you choose, you will need to input the known control point coordinates into your base station. This is the fastest method of establishing the location of the base station, as it will only take a few minutes to input the coordinate values or import the control file with control point coordinates to your job file.

RTK base set-up on an unknown point
Another common scenario for setting up a base when coordinates have not been pre-established is on an unknown point. In this case, you need to establish coordinates, which can be accomplished in several ways:
Static GNSS

Static GNSS is a typical scenario for land surveyors who need to use a national, local, or global datum for their job sites. In this instance, data from the GNSS receiver that was set up as a base station over the unknown control point is logged, and later downloaded to a computer for processing. You can download RINEX files for post-processing. RINEX enables surveyors to use shorter observation times to establish base coordinates. Setting a GNSS receiver up for logging will add a small amount of time to the initial setup, perhaps a minute or two to set the parameters such as logging rate, data format, storage file and type / path. More time will also be added to the end of the day when the logging is turned off and the file is transferred from the receiver to external storage such as a USB drive or the computer where the file will be further analyzed.
Closed traverses or level runs
As in the example above.
Temporary coordinates
Input when you set up the base, while also logging static data to post-process. You can later post-process this static data and apply as updated base coordinates in your field controller, or office software.
Using PPP-based online post-processing services
Discussed below.
Using RTN-based online post-processing services
Many RTN, like those that use Trimble® Pivot RTN software and have this enabled, offer online post-processing. The spacing of the RTN stations is closer than, for instance, the Online Positioning User Service (OPUS), and offers multi-constellation processing.
Using real-time services
Discussed below.
Online post-processing services to establish base coordinates
Once static data has been downloaded, it can be sent for online post-processing. Examples of post-processing services include:
US Based: OPUS1 provided by NGS: geodesy.noaa.gov/OPUS/, which only provides GPS constellation corrections or the Trimble CenterPoint RTX post-processing service www.trimblertx.com, that provides corrections based on observing all GNSS constellations.
Globally: AUSPOS and CSRS-PPP. Like RTX, these are precise point positioning based (PPP), but there may be additional steps to transform to your desired reference framework. RTX will perform many common transformations for you.

A sample report from the NGS online user processing service (OPUS). Note that you should choose the extended report and look at the peak-to-peak accuracy values. You may find that real-time services can match these values with far less time expended.
A multi-constellation GNSS post-processing service such as CenterPoint RTX service delivers shorter observation times and enables you to work in limited-sky environments.
The time spent using services such as OPUS depends on how long it takes to upload your file—typically a minute or two depending on the size of the file. Once the data has been uploaded, it will be processed, and you will receive an email with the results. In its entirety, the addition of post-processing an unknown point for use as control for your job site may add up to 30 minutes to your workflow. You can continue working and measuring on your job site while your GNSS receiver you set as a base station logs data, and then reprocess your job file once your final coordinates are known — an option that is better than an extra trip to the job site just to set control.
Using real-time services to establish base coordinates

Source: NGS Data
To save time you can use a Trimble correction service to establish a control point coordinate for the GNSS base receiver. This takes less than a minute to connect to the Trimble VRS Now network, obtain a fixed solution, and store a point at 2 cm accuracy (roughly ¾” or 0.066’).
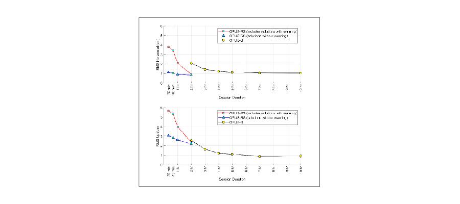
Alternatively, you could use CenterPoint RTX real-time correction service, and in under a minute you could converge to a position of 2 cm horizontal and 5 cm vertical and store the point. The National Geodetic Survey (NGS) recommends at least an hour of logged data to reach the same threshold (see figure2).
An advantage of using a PPP-based service over an RTN service is that cellular connection is not required because CenterPoint RTX service provides the correctors via L-Band satellites. Real-time methods are a substantial time saver when compared to legacy post-processing or optical methods. Surveyors have developed best practices for using real-time methods to establish control. Some guidelines are published by various entities, like state departments of transportation, or developed by individual surveys/firms based on their own testing.
Considering error budgets
Real-time methods for establishing control have evolved and improved to the point where they can often, but not always, meet the precision and accuracy of legacy static and post-processed methods. You may be strictly required to use legacy methods, however there are many entities that have adopted real-time methods, provided steps are followed that can provide high confidence in results.
These steps may include, for example, multiple 2- or 3-minute real-time sessions, re-initializing, or converging, with time separations between observation sessions to take advantage of the change in satellite constellation geometry. A typical workflow may include multiple observation sessions at the beginning of a work day, and several more at the end as a check.
Using real-time services to establish your base position represents a three-decade leap forward in meeting the twin goals of efficiency and precision. The precision gap between legacy methods and real-time has closed to a point where you no longer face stark trade-offs between the two.
In the next blog, "Conventional, post-processed or real-time?," we’ll take a closer look at evaluating when to use real-time or post-processing.
Footnotes:
1: OPUS only processes observations from the GPS constellation so it may require longer observation times, and may not work well in limited-sky environments.
2: https://www.ngs.noaa.gov/sitemsgs/OPUS/about/aboutAccuracyImproveIncludes.html